Magna Concursos
1751050 Ano: 2008
Disciplina: Matemática
Banca: CESPE / CEBRASPE
Orgão: Petrobrás
Provas:

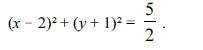
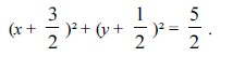
No sistema de coordenadas cartesianas ortogonais, uma partícula executa um movimento circular uniforme cuja trajetória tem como diâmetro o segmento que une os pontos P = (1, 2) e Q = (2, -1). A equação cartesiana que descreve esse movimento é

 

Provas

Questão presente nas seguintes provas

Geofísico - Geologia

120 Questões