Magna Concursos
2614129 Ano: 2022
Disciplina: Matemática
Banca: Pref. Bauru-SP
Orgão: Pref. Bauru-SP
Provas:
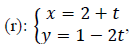
Seja r uma reta no plano, tal que, Enunciado 3548617-1t R, é sua equação na forma paramétrica. Qual é o valor da soma do coeficiente angular com o coeficiente linear dessa reta?
 

Provas

Questão presente nas seguintes provas

Técnico em Gestão - TI

50 Questões