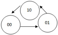
Circuitos sequenciais podem ser representados através de máquinas de estado. A figura representa uma máquina de estados finita de três estados.

O circuito implementado utilizando apenas FFs tipo D, para a máquina de estados da figura, é corretamente representado na alternativa
Provas
Questão presente nas seguintes provas
Pesquisador do Inmetro - Engenharia Eletrônica
60 Questões