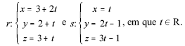
Considere, em R3 , as retas r e s dadas parametricamente por,

Se (a, b, c) é o ponto de interseção dessas duas retas, então a + b + c é igual a
Considere, em R3 , as retas r e s dadas parametricamente por,

Se (a, b, c) é o ponto de interseção dessas duas retas, então a + b + c é igual a