Magna Concursos
1616578 Ano: 2007
Disciplina: Matemática
Banca: VUNESP
Orgão: SEDUC-SP
Provas:

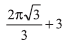
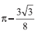
Considere o conjunto A dos pontos de coordenadas (x, y) que satisfazem, simultaneamente, as inequações e . A área de A é

enunciado 1616578-1

 

Provas

Questão presente nas seguintes provas

Professor - Matemática

80 Questões