- Mecânica ClássicaDinâmicaQuantidade de Movimento, Impulso e ColisõesImpulso e Quantidade de Movimento
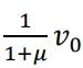
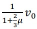
Uma esfera oca de massa M e raio R é lançada em uma superfície perfeitamente horizontal, sem girar, com velocidade inicial v0. Sabendo que µ é o coeficiente de atrito cinético entre a esfera e a superfície e que o momento de inércia de uma casca esférica em torno de um eixo contendo o seu centro de massa é i = (2/3)MR2 , determine a velocidade desta esfera no exato momento em que o deslizamento cessa.