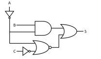
O circuito combinacional a seguir possui três entradas digitais (A, B e C) e uma saída S.

É correto afirmar que o circuito implementado é um
O circuito combinacional a seguir possui três entradas digitais (A, B e C) e uma saída S.

É correto afirmar que o circuito implementado é um