Magna Concursos
4024495 Ano: 2026
Disciplina: Engenharia Hidráulica
Banca: FGV
Orgão: AMAZUL
Provas:
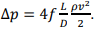
Exigências de energia de bombeamento são determinadas pela queda de pressão no escoamento de fluido em sistemas de refrigeração. A queda de pressão em um tubo depende de vários parâmetros, tais como: viscosidade μ, velocidade v, comprimento do tubo L , diâmetro do tubo D, massa específica p, e fator de atrito f.
Nesse contexto, a queda de pressão em um escoamento turbulento é dada por
 

Provas

Questão presente nas seguintes provas

Engenheiro Nuclear

60 Questões