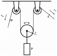
O bloco P está sendo puxado preso a uma polia de raio r que gira conforme o arranjo mostrado na fi gura abaixo.

Se os pontos A e B têm velocidades de va e vb , respectivamente, a velocidade do bloco P é:
O bloco P está sendo puxado preso a uma polia de raio r que gira conforme o arranjo mostrado na fi gura abaixo.

Se os pontos A e B têm velocidades de va e vb , respectivamente, a velocidade do bloco P é: