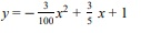
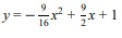
Certo bombeiro, ao combater um incêndio, lançou um jato
de água cuja trajetória é parabólica. Sabe-se que a mangueira foi
segurada a 1 metro de altura e que a altura máxima que o jato de
água pode atingir é de 10 metros, a 4 metros de distância do
bombeiro.
A partir das informações fornecidas na situação hipotética precedente, assinale a opção que corresponde à equação da trajetória parabólica do jato de água, em que y denota a altura do jato em relação ao solo e x, a distância do jato em relação ao bombeiro, ambos em metros.
A partir das informações fornecidas na situação hipotética precedente, assinale a opção que corresponde à equação da trajetória parabólica do jato de água, em que y denota a altura do jato em relação ao solo e x, a distância do jato em relação ao bombeiro, ambos em metros.
Provas
Questão presente nas seguintes provas