Em modelagem matemática, a resolução numérica das equações
diferenciais parciais que descrevem o transporte e dispersão de
poluentes na atmosfera – como o clássico modelo de pluma
gaussiana - frequentemente utiliza o método de diferenças finitas
que é facilmente programável nas mais diversas linguagens
computacionais. Tal abordagem, embora prática, é um tanto
contraditória, pois introduz uma representação de esquema
discreto de um meio que originalmente é considerado contínuo no
espaço e no tempo. O equacionamento dos esquemas
desenvolvidos pelo método de diferenças finitas baseia-se na
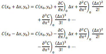
expansão em série de Taylor, conforme as expressões a seguir:
onde C é uma variável escalar, tal como a concentração de um poluente, x0 e y0 são os pontos centrais da grade e Δx é o espaçamento entre dois pontos adjacentes. Truncando as séries até os termos de terceira ordem e realizando as operações algébricas, obtém-se o esquema de diferenças centradas para derivada primeira.
Nesse caso, a equação diferencial parcial é aproximada pela equação em diferenças finitas somada a um erro de truncamento, cuja ordem de grandeza é
onde C é uma variável escalar, tal como a concentração de um poluente, x0 e y0 são os pontos centrais da grade e Δx é o espaçamento entre dois pontos adjacentes. Truncando as séries até os termos de terceira ordem e realizando as operações algébricas, obtém-se o esquema de diferenças centradas para derivada primeira.
Nesse caso, a equação diferencial parcial é aproximada pela equação em diferenças finitas somada a um erro de truncamento, cuja ordem de grandeza é