Magna Concursos
4015675 Ano: 2026
Disciplina: Matemática
Banca: IACP
Orgão: Pref. Santa Luzia Norte-AL
Provas:

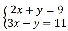
Considere o sistema linear abaixo e determine o par (x, y) que o satisfaz.

Enunciado 4502958-1

 

Provas

Questão presente nas seguintes provas

Professor - Matemática

40 Questões