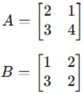
Considerando as matrizes A e B, assinalar a alternativa que representa o produto dos determinantes A e B.

Provas
Questão presente nas seguintes provas
Auxiliar Administrativo
40 Questões
Auxiliar de Creche
40 Questões
Técnico Agrícola
40 Questões