Magna Concursos
3765419 Ano: 2025
Disciplina: Química
Banca: VUNESP
Orgão: EsFCEx

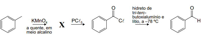
Observe o esquema a seguir que representa a obtenção de um aldeído partindo do metilbenzeno:

Enunciado 4558517-1

Nesse esquema, X possui a função orgânica

 

Provas

Questão presente nas seguintes provas

CFO-QC - Magistério de Química

50 Questões