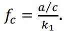
Em concretos convencionais, de baixa e média resistência, o fator água/cimento é um dos principais fatores que influenciam a resistência do concreto, sendo expresso pela Lei de Abrams. Assinale a expressão que indica a Lei de Abrams:
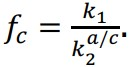
Em concretos convencionais, de baixa e média resistência, o fator água/cimento é um dos principais fatores que influenciam a resistência do concreto, sendo expresso pela Lei de Abrams. Assinale a expressão que indica a Lei de Abrams: