Disciplina: Matemática
Banca: Avança SP
Orgão: Pref. São Miguel Arcanjo-SP
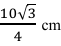
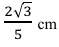
Uma empresa está desenvolvendo um novo design para tampas de bueiros urbanos em formato de hexágono regular inscrito em uma circunferência, com raio r. Para calcular a quantidade de material necessário para reforçar a região central da tampa, será usada a medida do apótema, que é o segmento que liga o centro do hexágono ao ponto médio de um dos lados, formando um triângulo retângulo com o raio e metade do lado. A seguir, apresenta-se um esquema que descreve um hexágono regular inscrito:

Sabendo que o raio da circunferência é conhecido
e igual a r = 10 cm, e que o hexágono é regular
e está inscrito na circunferência, qual é a medida
do apótema
, em centímetros?
Assinale a alternativa correta: