Magna Concursos
3811897 Ano: 2024
Disciplina: Matemática
Banca: FUNDATEC
Orgão: UERGS
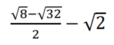
Assinale a alternativa que apresenta o resultado da operação abaixo:
Enunciado 4605612-1
 

Provas

Questão presente nas seguintes provas

Agente Administrativo

40 Questões

Técnico de Informática

40 Questões

Técnico de Laboratório

40 Questões