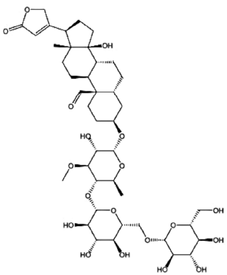
A Agência Nacional de Vigilância Sanitária (ANVISA) proibiu, em 2022, qualquer produto que contenha noz-da-índia (Aleurites moluccanus) e chapéu-de-napoleão (Thevetia peruviana). Esses produtos têm sido comercializados e divulgados irregularmente com indicações de emagrecimento, porém podem apresentar cardiotoxicidade. A tevetina A, cuja molécula é ilustrada pela figura a seguir, é um composto encontrado nesses produtos.

A partir dessas informações, julgue o item a seguir, relativos a drogas com ação cardiovascular.
A tevetina A, encontrada na espécie Thevetia peruviana, pertence à classe dos glicosídeos cardiotônicos e possui efeito inotrópico negativo na musculatura cardíaca.