Magna Concursos
3798669 Ano: 2025
Disciplina: Biologia
Banca: VUNESP
Orgão: SEDUC-SP
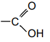
O salmão é fonte de nutrientes conhecidos como ácidos graxos ômega-3, que não são sintetizados pelo nosso corpo e precisam ser obtidos da dieta. São ácidos carboxílicos de cadeia longa e insaturada. Essas substâncias apresentam o radical ácido carboxílico, representado corretamente em:
 

Provas

Questão presente nas seguintes provas