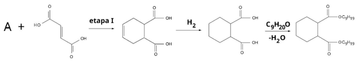
O éster diisononílico do ácido 1,2-ciclohexanodicarboxílico (DINC) é um importante plastificante não baseado em ftalatos, usado na
fabricação de artigos de plástico flexíveis em áreas de aplicação sensíveis, como brinquedos, dispositivos médicos e embalagens
de alimentos. Esse composto pode ser obtido por uma sequência de reações, que parte do ácido fumárico (ácido 2-butenodióico,
M = 116 g mol–1) para formar um derivado do ciclohexeno na etapa I, cujo rendimento é de 80%, seguida de hidrogenação obtida de
forma quantitativa e, por fim, esterificação com 1-nonanol (M = 144 g mol–1), com rendimento de 90%, conforme mostrado no
esquema a seguir.

Dados: Massa molar (g mol–1): C = 12, O = 16, H = 1.
Provas
Questão presente nas seguintes provas