4006267
Ano: 2025
Disciplina: Matemática Financeira
Banca: IBED
Orgão: Pref. São João Varjota-PI
Disciplina: Matemática Financeira
Banca: IBED
Orgão: Pref. São João Varjota-PI
Provas:
Uma bomba hidráulica esvazia uma piscina com
volume V, sob uma vazão inicial Q (em m³/h), e
esvazia completamente a piscina em 10 horas.
Suponha que, após uma alteração na configuração, a
bomba passe a operar com uma vazão variável dada
por: Q(t) = Q (0) ∙ ekt onde k>0 é uma constante de proporcionalidade e t é
o tempo em horas.
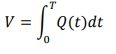
A resolução exata do tempo de esvaziamento exige a modelagem da situação com uma equação diferencial não linear do tipo separável, cuja solução depende de integrar a função vazão em relação ao tempo, considerando o volume total como:

A resolução exata do tempo de esvaziamento exige a modelagem da situação com uma equação diferencial não linear do tipo separável, cuja solução depende de integrar a função vazão em relação ao tempo, considerando o volume total como:
