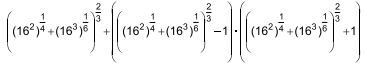
A senha de uma porta com fechadura eletrônica é o número resultante do cálculo da expressão:

A senha dessa fechadura é um valor que pertence ao intervalo de números entre
Provas
Questão presente nas seguintes provas
Assistente de Suporte Acadêmico III - TI/Suporte
40 Questões
Enfermeiro - Enfermagem do Trabalho
40 Questões
Enfermeiro - Saúde Mental
40 Questões
Jornalista - Produção Jornalística
40 Questões
Medico - Medicina do Trabalho
40 Questões
Médico - Medicina do Trabalho e Clínica Geral
40 Questões
Médico - Psiquiatria
40 Questões
Médico - Saúde Coletiva
40 Questões
Médico - Saúde da Família e Comunidade
40 Questões
Nutricionista
40 Questões
Pedagogo - Psicopedagogia
40 Questões
Psicólogo - Saúde do Estudante
40 Questões
Regente de Coral
40 Questões