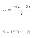
Em um polígono convexo, a quantidade de diagonais D e a soma dos ângulos internos S
podem ser calculas pelas seguintes fórmulas:
onde n é o número de lados do polígono.
Sabe-se também que um polígono convexo é regular quando todos os seus lados e ângulos internos são congruentes. Sabendo disso, assinale a alternativa que contém a informação CORRETA sobre um polígono regular.
onde n é o número de lados do polígono.
Sabe-se também que um polígono convexo é regular quando todos os seus lados e ângulos internos são congruentes. Sabendo disso, assinale a alternativa que contém a informação CORRETA sobre um polígono regular.
Provas
Questão presente nas seguintes provas
Analista de Sistemas
50 Questões
Auditor-Fiscal do Município
49 Questões