Magna Concursos
3961280 Ano: 2025
Disciplina: Matemática
Banca: SELECON
Orgão: Pref. Lucas Rio Verde-MT
Provas:

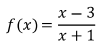
Considere a função Enunciado 4980778-1 definida por:

Enunciado 4980778-2

A raiz da equação Enunciado 4980778-3

 

Provas

Questão presente nas seguintes provas

Professor - Matemática

20 Questões