Magna Concursos
3853093 Ano: 2025
Disciplina: Matemática
Banca: EDUCA
Orgão: Pref. Santa Cecília-PB
Provas:

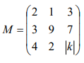
Observe a matriz quadrada M abaixo:

Enunciado 3853093-1

Para que M possua inversa devemos ter:

 

Provas

Questão presente nas seguintes provas

Professor B - Matemática

50 Questões