Um túnel será construído no interior de uma montanha. Para isso, serão necessários vários cálculos de
engenharia afim de não cometer-se nenhum erro. Feitos todos os cálculos, começar-se-á a obra,
utilizando-se o chamado "tatu", que é um maquinário enorme utilizado em perfurações. Esse tatu é
programado para seguir uma rota precisa em sua perfuração, tendo como base os estudos feitos
previamente. Em determinado momento, após perfurar 60 metros, o tatu ascende em sua trajetória,
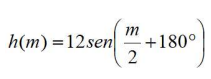
passando a obedece-la segundo a função a seguir.
Sendo h a altura atingida pelo tatu em m metros de perfuração, sendo 0,5m medido em graus, dessa forma, após o tatu perfurar 540 metros de túnel, pode-se afirmar que ele estará a uma altura que corresponde a um valor:
Sendo h a altura atingida pelo tatu em m metros de perfuração, sendo 0,5m medido em graus, dessa forma, após o tatu perfurar 540 metros de túnel, pode-se afirmar que ele estará a uma altura que corresponde a um valor: