Magna Concursos
3899795 Ano: 2024
Disciplina: Matemática
Banca: IDESG
Orgão: Pref. Nova Venécia-ES
Provas:

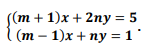
Considere o sistema:

Enunciado 4863298-1

Considerando que a solução desse sistema seja dada por m = 1 e n = 2, então o valor da expressão (m + n)2 é:

Questão Anulada

Provas

Questão presente nas seguintes provas

Professor - Matemática

50 Questões