Observe os gráficos a seguir:
Adaptado de The effect of heat and humidity on original wood-pulp papers, de HAVLÍNOVÁ, Bohuslava et al. A study of mechanical properties of papers exposed to various methods of accelerated ageing. Part I. Journal of Cultural Heritage, v. 10, n. 2, 2009.
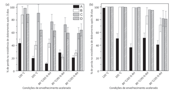
Os gráficos representam os resultados obtidos em testes de envelhecimento acelerado realizados com quatro amostras de diferentes tipos de papel e mostram o percentual de perda de resistência à dobra. O eixo x mostra as condições de temperatura e Umidade Relativa a que as amostras foram submetidas e o eixo y mostra a porcentagem de perda de resistência à dobra depois de 3 dias (a) e depois de 28 dias (b). A amostra A corresponde ao papel alcalino, enquanto as outras três amostras foram produzidas com diferentes porcentagens de polpa mecânica e química e apresentavam pH ácido. Com base nos dados apresentados, pode-se afirmar:
Adaptado de The effect of heat and humidity on original wood-pulp papers, de HAVLÍNOVÁ, Bohuslava et al. A study of mechanical properties of papers exposed to various methods of accelerated ageing. Part I. Journal of Cultural Heritage, v. 10, n. 2, 2009.
Os gráficos representam os resultados obtidos em testes de envelhecimento acelerado realizados com quatro amostras de diferentes tipos de papel e mostram o percentual de perda de resistência à dobra. O eixo x mostra as condições de temperatura e Umidade Relativa a que as amostras foram submetidas e o eixo y mostra a porcentagem de perda de resistência à dobra depois de 3 dias (a) e depois de 28 dias (b). A amostra A corresponde ao papel alcalino, enquanto as outras três amostras foram produzidas com diferentes porcentagens de polpa mecânica e química e apresentavam pH ácido. Com base nos dados apresentados, pode-se afirmar:
Provas
Questão presente nas seguintes provas