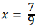
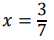
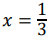
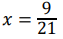
Considere a seguinte operação:

Sabendo que os números decimais 0,333333333… e 0,777777777…pertencem ao conjunto dos racionais e podem ser representados por uma fração, reescreva a operação utilizando frações e calcule o valor de x.
Assinale a alternativa correta:
Provas
Questão presente nas seguintes provas
Assistente Técnico Pedagógico - Artes
50 Questões
Médico - Dermatologia
50 Questões
Médico - Gastroenterologia
50 Questões
Médico - Ginecologia e Obstetrícia
50 Questões
Médico - Infectologia
50 Questões
Médico - Neurologia
50 Questões
Médico - Neuropediatria
50 Questões
Médico - Psiquiatria
50 Questões
Médico - Urologia
50 Questões
Médico do Trabalho
50 Questões
Orientador Pedagógico
50 Questões
Professor da Educação Básica I
50 Questões