Magna Concursos
3949205 Ano: 2025
Disciplina: Técnicas em Laboratório
Banca: FUVEST
Orgão: USP
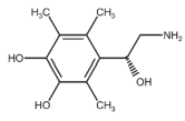
O prefixo nor-, em química orgânica, é usado para denotar a supressão de um grupo químico em específico em determinadas moléculas, como exemplificado nas estruturas mostradas abaixo.


Enunciado 4945690-1


Seguindo essa mesma lógica, dada a estrutura da adrenalina, a estrutura da noradrenalina é dada por:
 

Provas

Questão presente nas seguintes provas

Técnico de Laboratório - Bioquímica

60 Questões