Seja m ∈
considere o sistema linear

Assinale a alternativa que contém uma afirmação CORRETA sobre a classificação do sistema (possível e determinado / possível e indeterminado / impossível).
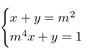
Seja m ∈
considere o sistema linear

Assinale a alternativa que contém uma afirmação CORRETA sobre a classificação do sistema (possível e determinado / possível e indeterminado / impossível).