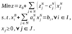
Em um problema de programação linear inteira-mista, a partir da tabela final SIMPLEX, cuja forma algébrica geral é dada a seguir, é possível propor tanto desigualdades válidas quanto restrições de ramificação (Branching), quando se busca computar soluções integrais para o problema via algoritmo Branch And Bound. Uma vez inseridas tais restrições qual seria, respectivamente, o estado do programa linear inteiro-misto no que tange à viabilidade primal, acerca da viabilidade dual e à otimalidade? Qual algoritmo, entre o Primal e o Dual SIMPLEX, seria mais indicado para continuar o processo de otimização?
