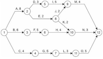
A obra de restauração de uma edificação seguiu o cronograma PERT-CPM a seguir, no qual as atividades estão indicadas por
letras, seguidas de suas durações em semanas.
No decorrer da obra, a atividade G atrasou 2 semanas, devido a fortes chuvas na região, contudo, a obra foi entregue no prazo, pois a folga no caminho das atividades C, G, L e O, em semanas, é
No decorrer da obra, a atividade G atrasou 2 semanas, devido a fortes chuvas na região, contudo, a obra foi entregue no prazo, pois a folga no caminho das atividades C, G, L e O, em semanas, é
Provas
Questão presente nas seguintes provas