Magna Concursos
Questões
Planos
Entrar
Entrar
Criar Conta
Respondida
3941996
Ano:
2025
Disciplina:
Matemática
Banca:
FUNDATEC
Orgão:
Pref. Xangri-Lá-RS
Provas:
Professor - Matemática
Provas
×
Álgebra
Álgebra Linear
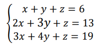
Considerando o sistema linear a seguir, sabe-se que
D
é o determinante da matriz dos coeficientes e que
D
x
,
D
y
e
D
z
são os determinantes obtidos pela regra de Cramer, quanto à classificação desse sistema, assinale a alternativa correta.
A
D
≠ 0, mas
D
x
= 0, logo o sistema não tem solução.
B
D
≠ 0, e, portanto, o sistema é possível e determinado.
C
D
= 0 e
D
x
=
D
y
=
D
z
= 0, logo o sistema é possível e indeterminado.
D
D
≠ 0, mas
D
y
≠ 0, logo o sistema tem infinitas soluções.
E
D
= 0 e
D
y
≠ 0, logo o sistema é impossível.
Resolver
Comentários
0
×
Cadernos
×
Flashcards
×
Estatísticas
×
Reportar um erro
×
Provas
Questão presente nas seguintes provas
Professor - Matemática
60 Questões
Resolver Prova
Publicar
Responder
Qual o problema da questão?
Selecione uma opção
Questão Desatualizada
Questão Repetida
Gabarito Errado
Outros Motivos
Mensagem
Enviar
Acessar
Criar Conta
Acesse sua Conta
Google
Facebook
Esqueci minha senha
Acessar
Ainda não tem conta?
Crie uma
!
Crie uma Conta
Criar Conta
Olá, para continuar, precisamos criar uma conta!
É
rápido
e
grátis
.
Google
Facebook
Concordo com os
Termos de Uso
Criar
Já tem uma conta?
Acesse aqui