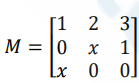
Analise a seguinte matriz, sabendo que x é um número real, e assinale a alternativa correta.

Provas
Questão presente nas seguintes provas
Médico - Atenção Básica
60 Questões
Médico - Atenção Integrada
60 Questões
Pedagogo
60 Questões
Professor - Educação Física
60 Questões
Professor - Inglês
60 Questões
Professor - Matemática
60 Questões
Professor da Educação Infantil
60 Questões
Terapeuta Ocupacional
60 Questões