Magna Concursos
3957641 Ano: 2025
Disciplina: Matemática
Banca: URCA
Orgão: Pref. Lavras Mangabeira-CE
Provas:

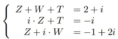
Considere Z, W e T números complexos que satisfazem o sistema de equações

Enunciado 4937248-1

Determine o valor 3/2 W + 1/2 T - Z.

 

Provas

Questão presente nas seguintes provas

Professor - Matemática

50 Questões