Magna Concursos
3929037 Ano: 2025
Disciplina: Matemática
Banca: INEP
Orgão: PND

Considerando as dificuldades dos estudantes no processo de aprendizagem da resolução de equações do segundo grau, uma professora de Matemática resolveu utilizar-se da História da Matemática. Para isso, ela apresentou o trecho, a seguir, de um livro que indicava como Al-Khwarizmi resolvia esse tipo de equação.

Um quadrado mais dez raízes do mesmo é igual a trinta e nove. Qual é o quadrado?

A solução é a seguinte:

Tome metade do número de raízes, obtendo cinco.

Isto é multiplicado por si mesmo. O produto será vinte e cinco.

Adicione isto a trinta e nove. A soma é sessenta e quatro.

Tome então a raiz quadrada disso, que é igual a oito.

Subtraia disto a metade do número de raízes que é cinco. A diferença é três.

Esta é a raiz do quadrado procurado e o próprio quadrado é nove.

BEKKEN, O. Equações de Ahmes até Abel. Rio de Janeiro: Universidade Santa Úrsula, 1994.

Após conhecer a forma como Al-Khwarizmi resolvia as equações do segundo grau, um estudante disse:

“Professora! Eu fui acompanhando aqui e percebi que é muito diferente. A parte que fica dentro da raiz não é igual à fórmula que a senhora ensinou. Mas mesmo assim deu o mesmo resultado”.

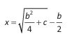
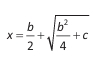
Al-Khwarizmi queria encontrar os valores desconhecidos para uma equação, que na notação atual é representada por x2 + bx = c. Assim, o valor de x é determinado de acordo com o processo descrito pela seguinte expressão:

 

Provas

Questão presente nas seguintes provas

Enade Licenciaturas - Matemática

80 Questões