Magna Concursos
3867212 Ano: 2024
Disciplina: Matemática
Banca: IDESG
Orgão: Pref. Varre-Sai-RJ
Provas:
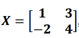
Em uma competição de robótica, uma matriz de transformação x é utilizada para alterar a posição de um robô no espaço. Se a matriz Enunciado 4733939-1 , qual é o dobro do determinante da matriz? 
 

Provas

Questão presente nas seguintes provas

Professor - Matemática

40 Questões