O diagrama dado a seguir codifica uma sequência tecnológica de um produto a ser fabricado em uma linha de montagem.

Marque a opção em que a sequência de produção está incorreta (infactível).
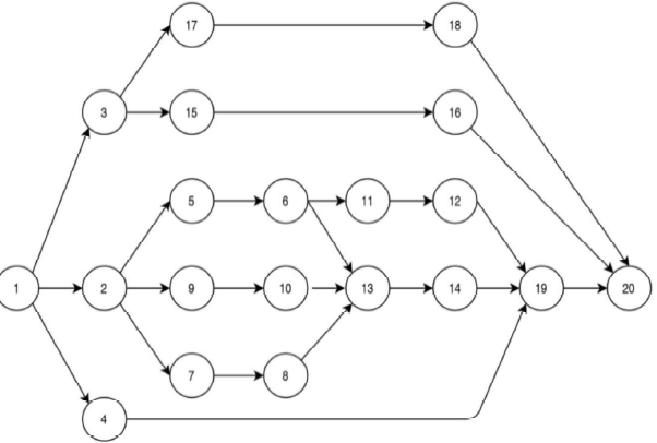
O diagrama dado a seguir codifica uma sequência tecnológica de um produto a ser fabricado em uma linha de montagem.

Marque a opção em que a sequência de produção está incorreta (infactível).