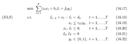
Seja o Problema de Lot Sizing Dinamico (DLS), em que xt decide o tamanho do lote produzido no período de planejamento t, It responde o nível de estoque do produto acabado no período de planejamento t e yt decide se a produção ocorre ou não no período t. Além disso, os parâmetros do problema são: dt informa a demanda de produto para o período t, incidindo ainda os custos unitários de produção ct, os custos de estocagem ht e os custos de preparação ft, com quota acumulada de pordução TtT do período t até o final do horizonte de planejamento T.
Escrevendo o problema como um programa matemático, observa-se:

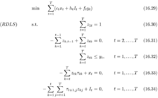
Existe ainda uma reformulação de (16.17)-(16.22), denominada (RDLS) na forma:

Marque a opção que determina e justifica corretamente qual das formulações matemáticas deve-se utilizar para resolver o problema supracitado através de um resolvedor de programas lineares inteiro-mistos de propósito geral.