Magna Concursos
4001815 Ano: 2026
Disciplina: Matemática
Banca: UEPB
Orgão: Pref. Condado-PE
Provas:

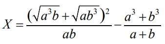
Dada a expressão:

Enunciado 4494956-1

Sobre o valor de é CORRETO afirmar que: X,

 

Provas

Questão presente nas seguintes provas

Professor - Matemática

40 Questões