Magna Concursos
3922996 Ano: 2025
Disciplina: Matemática
Banca: IBAM
Orgão: Pref. Arraial Cabo-RJ
Provas:

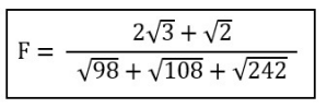
Considere a igualdade a seguir:

Enunciado 4788505-1

Se √6 = m, tem-se que F é igual a:

 

Provas

Questão presente nas seguintes provas

Professor - Matemática

40 Questões