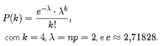
Em uma determinada comunidade, sabe-se que a
probabilidade de um indivíduo contrair uma doença
rara é de 1 em cada 1.000 pessoas. Supondo que os
casos sejam independentes entre si e a população total
da comunidade seja de 2.000 pessoas, é correto
afirmar que a probabilidade aproximada de
exatamente 4 pessoas contraírem a doença é de
aproximadamente 0,1800, pois, neste caso, admite-se
a aproximação da distribuição binomial por uma
distribuição de Poisson de parâmetro λ=2, sendo a
fórmula geral:

