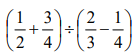
O valor da expressão abaixo é:

Provas
Questão presente nas seguintes provas
Agente de Limpeza Urbana
40 Questões
Auxiliar de Serviços Gerais
40 Questões
Coveiro
40 Questões
Eletricista
40 Questões
Maqueiro
40 Questões
Motorista B
40 Questões
Motorista D
40 Questões
Operador de Máquinas Pesadas
40 Questões
Tratorista
40 Questões
Vigilante
40 Questões