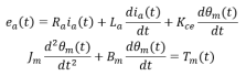
Considere o modelo de um motor CC com excitação independente:

Analise os itens a seguir:
I. A constante Kce relaciona a velocidade de rotação com a força contra-eletromotriz.
II. O aumento do atrito viscoso Bm reduz a velocidade de regime de armadura.
III. O torque eletromagnético é diretamente proporcional à corrente de armadura.
Está correto o que se afirma em