Magna Concursos
3916692 Ano: 2025
Disciplina: Raciocínio Lógico
Banca: CETREDE
Orgão: Pref. Paramoti-CE
Provas:

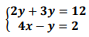
Resolvendo o sistema:

Enunciado 4760993-1

encontramos os dados da opção

 

Provas

Questão presente nas seguintes provas

Auxiliar de Serviços Gerais

60 Questões

Cozinheiro

60 Questões

Gari

60 Questões

Vigia

60 Questões