Céu de Outubro, filme embasado em fatos reais, narra a história do garoto Holmer, cujo sonho de conquistar o espaço foi despertado ao ver o satélite Sputnik cruzar os céus de sua cidade. O personagem dedica seus dias à construção de um modelo de foguete que também possa cruzar os céus. A cidade onde se passa a história sobrevive da exploração de carvão. O filme, além de retratar os EUA durante a Guerra Fria, explora aspectos sociais, tais como uma greve de mineradores, o esgotamento de recursos minerais, conflitos da adolescência, paixões secretas, brigas familiares. Um dos grandes problemas de Holmer e seus amigos, na construção do referido foguete, foi encontrar o propulsor adequado. Eles utilizaram, inicialmente, uma mistura de carvão, enxofre e salitre — materiais abundantes também na América Latina. A mistura acabou falhando devido à falta de homogeneidade do material, que impediu a combustão completa. Após várias tentativas fracassadas, inspirando-se em uma aula experimental de química, os garotos passaram a usar a mistura de açúcar e clorato de potássio, tendo sido este último substituído, posteriormente, por nitrato de potássio. Uma nova mudança de material foi necessária devido a problemas de umidade, excesso de calor e corrosão das estruturas metálicas de aço do foguete, que impediram, novamente, o lançamento do foguete. Por fim, conseguiram lançá-lo ao optarem por usar uma mistura de zinco em pó, enxofre e álcool como aglutinante.
Considere que as reações — cujas equações, apresentadas a seguir, não estão balanceadas — tenham sido utilizadas por Holmer e seus amigos em suas experiências na busca do propulsor, sendo igual a 22,7 L · mol-1 o volume molar dos gases envolvidos nas reações, nas CNTP.
KNO3(s) + S(s) + C(s) → K2S(s) + N2(g) + CO2(g)
C12H22O11(s) + KClO3(s) → KCl(s) + H2O(g) + CO2(g)
A partir dessas informações, julgue o item a seguir,
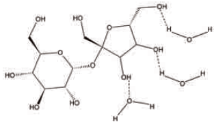
Considere que a figura abaixo mostra as fórmulas estruturais da água e do açúcar. Com base nessa figura, é correto concluir que as fortes interações dipolo-dipolo instantâneo que a água faz com o grupo OH do açúcar é fator que, entre outros, justifica um dos aludidos fracassos no lançamento do foguete.
