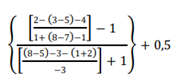
Um jovem, enquanto estudava as operações básicas
matemáticas, encontrou a seguinte expressão, sobressaltando-se, pois acreditava ser muito complexa. Entretanto, ao analisar
calmamente, verificou que se tratava de uma expressão muito
simples.
Assinale a alternativa que traz o resultado da expressão acima.
Assinale a alternativa que traz o resultado da expressão acima.
Provas
Questão presente nas seguintes provas
Controlador Geral do Sistema de Controle Interno
40 Questões
Fonoaudiólogo - Educação
40 Questões
Professor - Ciências
40 Questões