Magna Concursos
4024630 Ano: 2026
Disciplina: Engenharia Química
Banca: FGV
Orgão: AMAZUL
Provas:
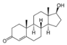
O colesterol é precursor bioquímico de alguns hormônios como a testosterona, a progesterona, o cortisol e o estradiol. Desses, o estradiol é o responsável pelo desenvolvimento sexual e preparo do útero para gravidez e é o único dos compostos mencionados que apresenta o grupamento fenólico.
Sendo assim, a estrutura do estradiol está representada pela opção:
 

Provas

Questão presente nas seguintes provas

Engenheiro Químico

60 Questões