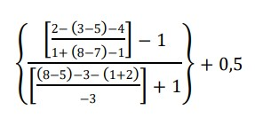
Um jovem, enquanto estudava as operações básicas matemáticas, encontrou a seguinte expressão, sobressaltando-se, pois acreditava ser muito complexa. Entretanto, ao analisar calmamente, verificou que se tratava de uma expressão muito simples.

Assinale a alternativa que traz o resultado da expressão acima.
Provas
Questão presente nas seguintes provas
Professor - Artes
40 Questões
Professor da Educação Especial
40 Questões